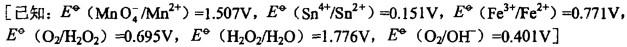
下列物质与H2O2水溶液相遇时,能使H2O2显还原性的是( )。A. KMnO4 (酸性)B. SnCl2C. Fe2+D. NaOH

作者: rantiku 人气: - 评论: 0
问题 下列物质与H2O2水溶液相遇时,能使H2O2显还原性的是( )。
选项 A. KMnO4 (酸性) B. SnCl2 C. Fe2+ D. NaOH
答案 A
解析

猜你喜欢

发表评论
更多 网友评论0 条评论)
暂无评论

Copyright © 2012-2014 恰考网 Inc. 保留所有权利。 Powered by tikuer.com

页面耗时0.0341秒, 内存占用1.01 MB, Cache:redis,访问数据库19次