在单缝夫琅禾费衍射实验中,屏上第三级暗纹对应的单缝处波面可分成的半波带的数目为:A. 3B. 4C. 5D. 6

作者: rantiku 人气: - 评论: 0
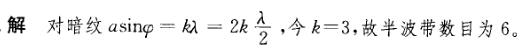
问题 在单缝夫琅禾费衍射实验中,屏上第三级暗纹对应的单缝处波面可分成的半波带的数目为:
选项 A. 3 B. 4 C. 5 D. 6
答案 D
解析

猜你喜欢

发表评论
更多 网友评论0 条评论)
暂无评论

Copyright © 2012-2014 恰考网 Inc. 保留所有权利。 Powered by tikuer.com

页面耗时0.0274秒, 内存占用1.03 MB, Cache:redis,访问数据库19次