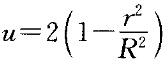
半径为R的圆管中,横截面上流速分布为,其中r表示到圆管轴线的距离,则在r1=0. 2R处的黏性切应力与r2 =R处的黏性切应力大小之比为:A. 5B....

作者: rantiku 人气: - 评论: 0
问题 半径为R的圆管中,横截面上流速分布为,其中r表示到圆管轴线的距离,则在r1=0. 2R处的黏性切应力与r2 =R处的黏性切应力大小之比为:
选项 A. 5 B. 25 C. 1/5 D.1/25
答案 C
解析

猜你喜欢

发表评论
更多 网友评论0 条评论)
暂无评论

Copyright © 2012-2014 恰考网 Inc. 保留所有权利。 Powered by tikuer.com

页面耗时0.0500秒, 内存占用1.03 MB, Cache:redis,访问数据库17次