一水平放置的恒定变直径圆管流,不计水头损失,取两个截面1和2,当d1>d2时,则两截面形心压强关系是:A.p12B. p1>p2C.p1=p2...

作者: rantiku 人气: - 评论: 0
问题 一水平放置的恒定变直径圆管流,不计水头损失,取两个截面1和2,当d1>d2时,则两截面形心压强关系是:
选项 A.p12 B. p1>p2 C.p1=p2 D.不能确定
答案 B
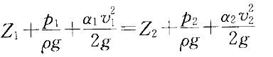
解析 解:对断面1-1及2-2中点写能量方程: 题设管道水平,故Z1=Z2。又设d1>d2,由连续方程知v12 代入上式后知:p1>p2。

猜你喜欢

发表评论
更多 网友评论0 条评论)
暂无评论

Copyright © 2012-2014 恰考网 Inc. 保留所有权利。 Powered by tikuer.com

页面耗时0.0342秒, 内存占用1.03 MB, Cache:redis,访问数据库18次