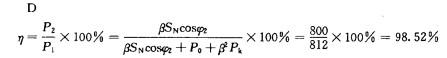
当变压器为满载时,该变压器的效率为()。A. 99.32%;B. 99.01%;C. 98.98%;D. 98.52%。

作者: rantiku 人气: - 评论: 0
问题 当变压器为满载时,该变压器的效率为()。
选项 A. 99.32%; B. 99.01%; C. 98.98%; D. 98.52%。
答案 D
解析
  • 上一篇:
  • 下一篇:

猜你喜欢

发表评论
更多 网友评论0 条评论)
暂无评论

访问排行

Copyright © 2012-2014 恰考网 Inc. 保留所有权利。 Powered by tikuer.com

页面耗时0.0347秒, 内存占用1.03 MB, Cache:redis,访问数据库19次