—座66/10kV重要变电所,装有容量为16000kV·A的主变压器两台,采用蓄电池直流操作系统,所有断路器配电磁操作机构。控制、信号等经常负荷为2000...

作者: rantiku 人气: - 评论: 0
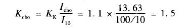
问题 —座66/10kV重要变电所,装有容量为16000kV·A的主变压器两台,采用蓄电池直流操作系统,所有断路器配电磁操作机构。控制、信号等经常负荷为2000W,事故照明负荷为1000W,最大一台断路器合闸电流为98A。 请回答下列问题。 若选择一组10h放电标称容量为100A·h的220V铅酸蓄电池作为直流电源,若事故初期放电电流13. 63A,计算事故放电初期冲击系数应为下列哪一项数值?(可靠系数Kk =1.10)
选项 A.1.5 B.1.0 C.0.5 D.12.28
答案 A
解析 .《电力工程直流系统设计技术规程》(DL/T 5044—2004)附录 B. 2 . 1 . 3 式(B. 2)。

猜你喜欢

发表评论
更多 网友评论0 条评论)
暂无评论

访问排行

Copyright © 2012-2014 恰考网 Inc. 保留所有权利。 Powered by tikuer.com

页面耗时0.0450秒, 内存占用1.03 MB, Cache:redis,访问数据库17次