A. 0. 833;B. 0.083;C. 8.33;D. 1.666。

作者: rantiku 人气: - 评论: 0
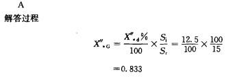
问题
选项 A. 0. 833; B. 0.083; C. 8.33; D. 1.666。
答案 A
解析

猜你喜欢

发表评论
更多 网友评论0 条评论)
暂无评论

访问排行

Copyright © 2012-2014 恰考网 Inc. 保留所有权利。 Powered by tikuer.com

页面耗时0.0422秒, 内存占用1.03 MB, Cache:redis,访问数据库18次