A. 1.5;B. 1. 75;C. 1. 375;D. 2.0。

作者: rantiku 人气: - 评论: 0
问题
选项 A. 1.5; B. 1. 75; C. 1. 375; D. 2.0。
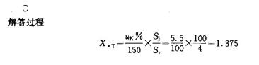
答案 C
解析

猜你喜欢

发表评论
更多 网友评论0 条评论)
暂无评论

访问排行

Copyright © 2012-2014 恰考网 Inc. 保留所有权利。 Powered by tikuer.com

页面耗时0.0420秒, 内存占用1.03 MB, Cache:redis,访问数据库20次