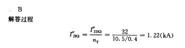
A. 0. 74kA, B. 1. 22kA; C. 1. 48kA, D. 0. 85kA。

作者: rantiku 人气: - 评论: 0
问题 A. 0. 74kA, B. 1. 22kA; C. 1. 48kA, D. 0. 85k
选项 A。
答案 B
解析

猜你喜欢

发表评论
更多 网友评论0 条评论)
暂无评论

访问排行

Copyright © 2012-2014 恰考网 Inc. 保留所有权利。 Powered by tikuer.com

页面耗时0.0491秒, 内存占用1.03 MB, Cache:redis,访问数据库20次