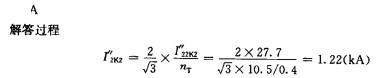
A. 1. 22kA; B 0. 85kA; C. 0. 74kA; D. 1. 84kA。

作者: rantiku 人气: - 评论: 0
问题 A. 1. 22kA; B 0. 85kA; C. 0. 74kA; D. 1. 84k
选项 A。
答案 A
解析
发表评论
更多 网友评论0 条评论)
暂无评论

访问排行

Copyright © 2012-2014 恰考网 Inc. 保留所有权利。 Powered by tikuer.com

页面耗时0.0307秒, 内存占用1.03 MB, Cache:redis,访问数据库20次