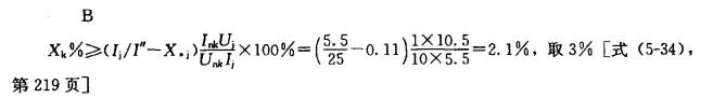
电抗器电抗百分值为().A. 2%;B. 3%;C. 4%;D. 5%。

作者: rantiku 人气: - 评论: 0
问题 电抗器电抗百分值为().
选项 A. 2%; B. 3%; C. 4%; D. 5%。
答案 B
解析

猜你喜欢

发表评论
更多 网友评论0 条评论)
暂无评论

访问排行

Copyright © 2012-2014 恰考网 Inc. 保留所有权利。 Powered by tikuer.com

页面耗时0.0438秒, 内存占用1.03 MB, Cache:redis,访问数据库18次