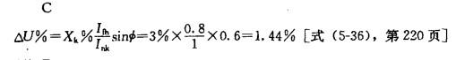
电抗器电压损失为( )。A. 1.35%;B. 1.40%,C. 1.44%D. 1.48%.

作者: rantiku 人气: - 评论: 0
问题 电抗器电压损失为( )。
选项 A. 1.35%; B. 1.40%, C. 1.44% D. 1.48%.
答案 C
解析

猜你喜欢

发表评论
更多 网友评论0 条评论)
暂无评论

访问排行

Copyright © 2012-2014 恰考网 Inc. 保留所有权利。 Powered by tikuer.com

页面耗时0.0447秒, 内存占用1.03 MB, Cache:redis,访问数据库19次