按热稳定校验应选择( )。A. 25mm2 ;B. 35mm2 ;C。50mm2 ;D. 70mm2。

作者: rantiku 人气: - 评论: 0
问题 按热稳定校验应选择( )。
选项 A. 25mm2 ; B. 35mm2 ; C。50mm2 ; D. 70mm2。
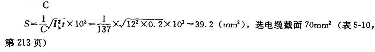
答案 C
解析

猜你喜欢

发表评论
更多 网友评论0 条评论)
暂无评论

访问排行

Copyright © 2012-2014 恰考网 Inc. 保留所有权利。 Powered by tikuer.com

页面耗时0.0424秒, 内存占用1.03 MB, Cache:redis,访问数据库20次