某低压交流异步电动机额定电压Un,采用延边三角形降压启动方式,电动机定子 抽头比K = a/b = 1/2,启动电压为( )A. 0. 50Un; a 0...

作者: rantiku 人气: - 评论: 0
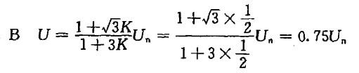
问题 某低压交流异步电动机额定电压Un,采用延边三角形降压启动方式,电动机定子 抽头比K = a/b = 1/2,启动电压为( )
选项 A. 0. 50Un; a 0. 75Un; C. 0. 43Un ; D. 0. 66Un
答案 B
解析

猜你喜欢

发表评论
更多 网友评论0 条评论)
暂无评论

访问排行

Copyright © 2012-2014 恰考网 Inc. 保留所有权利。 Powered by tikuer.com

页面耗时0.0455秒, 内存占用1.03 MB, Cache:redis,访问数据库20次