某低压交流异步电动机,全压启动时启动电流为Ist,采用延边三角形降压启动方 式,电动机定子抽头比K= a/b = 1/3,则启动电流为( )。A. 0.4...

作者: rantiku 人气: - 评论: 0
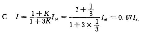
问题 某低压交流异步电动机,全压启动时启动电流为Ist,采用延边三角形降压启动方 式,电动机定子抽头比K= a/b = 1/3,则启动电流为( )。
选项 A. 0.43Ist B.0. 50Ist C. 0. 67Ist D. 0.80Ist
答案 C
解析

猜你喜欢

发表评论
更多 网友评论0 条评论)
暂无评论

访问排行

Copyright © 2012-2014 恰考网 Inc. 保留所有权利。 Powered by tikuer.com

页面耗时0.0902秒, 内存占用1.03 MB, Cache:redis,访问数据库20次