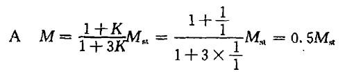
某低压交流异步电动机,全压启动时启动转矩为Mst,采用延边三角形降压启动方 式,电动机定子抽头比K =a/b =1/1, 则启动转矩M为( )。A. 0....

作者: rantiku 人气: - 评论: 0
问题 某低压交流异步电动机,全压启动时启动转矩为Mst,采用延边三角形降压启动方 式,电动机定子抽头比K =a/b =1/1, 则启动转矩M为( )。
选项 A. 0. 5OMt1 ; B. 0. 60Mt1; C. 0. 75Mt1, D. 0. 80Mt1。
答案 A
解析

猜你喜欢

发表评论
更多 网友评论0 条评论)
暂无评论

访问排行

Copyright © 2012-2014 恰考网 Inc. 保留所有权利。 Powered by tikuer.com

页面耗时0.0343秒, 内存占用1.03 MB, Cache:redis,访问数据库19次