按符合平稳启动要求的最低电压启动过跨运输车时,每相允许接入的全部外加电阻 为()(选最接近的一个数据)。A. 0.68Ω;B. 1. 06Ω;...

作者: rantiku 人气: - 评论: 0
问题 按符合平稳启动要求的最低电压启动过跨运输车时,每相允许接入的全部外加电阻 为()(选最接近的一个数据)。
选项 A. 0.68Ω; B. 1. 06Ω; C. 1.22Ω, D. 1. 82Ω。
答案 C
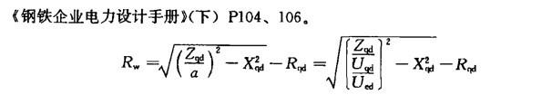
解析

猜你喜欢

发表评论
更多 网友评论0 条评论)
暂无评论

访问排行

Copyright © 2012-2014 恰考网 Inc. 保留所有权利。 Powered by tikuer.com

页面耗时0.0468秒, 内存占用1.03 MB, Cache:redis,访问数据库20次