由供电母线到过跨运输车电动机的线路电阻为a oin,按符合平稳启动要求的最低 电压启动过跨运输车时外加降压电阻为( )(选最接近的一个数据)。A. 0...

作者: rantiku 人气: - 评论: 0
问题 由供电母线到过跨运输车电动机的线路电阻为a oin,按符合平稳启动要求的最低 电压启动过跨运输车时外加降压电阻为( )(选最接近的一个数据)。
选项 A. 0. 08Ω; B.0. 62Ω; C. 1. 2lΩ; D. 1. 23Ω。
答案 C
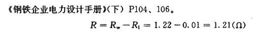
解析

猜你喜欢

发表评论
更多 网友评论0 条评论)
暂无评论

访问排行

Copyright © 2012-2014 恰考网 Inc. 保留所有权利。 Powered by tikuer.com

页面耗时0.0424秒, 内存占用1.03 MB, Cache:redis,访问数据库20次