某轧钢车间有一台额定功率1450kW,额定转速500r/min的轧钢同步电动机,电动 机的额定电压为6kV,额定容量为1.9MVA,额定启动电流倍数为5....

作者: rantiku 人气: - 评论: 0
问题 某轧钢车间有一台额定功率1450kW,额定转速500r/min的轧钢同步电动机,电动 机的额定电压为6kV,额定容量为1.9MVA,额定启动电流倍数为5. 9倍,额定电压下启 动转矩标幺值为1。变电所6kV、50Hz母线上的最小短路容量为46MVA。启动前母线电压 为額定电压6kV,母线上的无功负载为2. 95Mvar。启动时母线允许电压标幺值为0.85。机 组的静阻转矩标幺值为0. 16。试判断电抗器降压启动方案的可行性及计算有关参数。 根据等效电路,按母线电压水平核算此电动机采用电抗器启动时,与母线允许电压 标幺值有关的计算系数为()。
选项 A. 1.24; B. 5.25; C. 7.00; D. 10.0。
答案 C
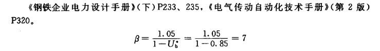
解析

猜你喜欢

发表评论
更多 网友评论0 条评论)
暂无评论

访问排行

Copyright © 2012-2014 恰考网 Inc. 保留所有权利。 Powered by tikuer.com

页面耗时0.0359秒, 内存占用1.03 MB, Cache:redis,访问数据库20次