—座66/10kV重要变电所,装有容量为16000kV·A的主变压器两台,采用蓄电池直流操作系统,所有断路器配电磁操作机构。控制、信号等经常负荷为2000...

作者: rantiku 人气: - 评论: 0
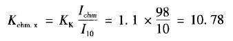
问题 —座66/10kV重要变电所,装有容量为16000kV·A的主变压器两台,采用蓄电池直流操作系统,所有断路器配电磁操作机构。控制、信号等经常负荷为2000W,事故照明负荷为1000W,最大一台断路器合闸电流为98A。 请回答下列问题。 若选择一组10h放电标称容量为100A·h的220V铅酸蓄电池作为直流电源,计算事故放电末期冲击系数应为下列哪一项数值?(可靠系数Kk=1.10) ( )
选项 A. 12.28 B. 11.78 C. 1.50 D. 10.78
答案 D
解析 .《电力工程直流系统设计技术规程》(DL/T 5044—2004 )附录B. 2. 1. 3.式(B.5)。

猜你喜欢

发表评论
更多 网友评论0 条评论)
暂无评论

访问排行

Copyright © 2012-2014 恰考网 Inc. 保留所有权利。 Powered by tikuer.com

页面耗时0.0435秒, 内存占用1.03 MB, Cache:redis,访问数据库20次