—座66/10kV重要变电所,装有容量为16000kV·A的主变压器两台,采用蓄电池直流操作系统,所有断路器配电磁操作机构。控制、信号等经常负荷为2000...

作者: rantiku 人气: - 评论: 0
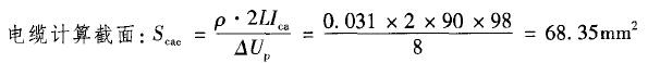
问题 —座66/10kV重要变电所,装有容量为16000kV·A的主变压器两台,采用蓄电池直流操作系统,所有断路器配电磁操作机构。控制、信号等经常负荷为2000W,事故照明负荷为1000W,最大一台断路器合闸电流为98A。 请回答下列问题。 若选择一组蓄电池容量为80A·h的220V铅酸蓄电池作为直流电源,电路器合闸电缆选用VLV型电缆,电缆的允许压降为8V,电缆的计算长度为90m,请计算断路器合闸电缆的计算截面应为下面哪一项数值?(电缆的电阻系数:铜ρ=0.0184Ω*mm2,铝ρ=0.031Ω*mm2) ( )
选项 A. 68. 35mm2 B. 34. 18mm2 C. 74.70mm2 D. 40.57mm2
答案 A
解析 .《电力工程直流系统设计技术规程》(DL/T 5044—2004)附录D中D.1计算公式。 注:VLV电缆为铝芯聚氯乙烯绝缘聚氯乙烯护套电力电缆。

猜你喜欢

发表评论
更多 网友评论0 条评论)
暂无评论

访问排行

Copyright © 2012-2014 恰考网 Inc. 保留所有权利。 Powered by tikuer.com

页面耗时0.0416秒, 内存占用1.03 MB, Cache:redis,访问数据库20次