某厂为进行节能技术改造,拟将原由可控硅供电的直流电动机改用交流调速同步电动机,电动机水冷方式不变,原直流电动机的功率Pn=2500kW,转速为585r/m...

作者: rantiku 人气: - 评论: 0
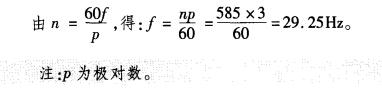
问题 某厂为进行节能技术改造,拟将原由可控硅供电的直流电动机改用交流调速同步电动机,电动机水冷方式不变,原直流电动机的功率Pn=2500kW,转速为585r/min,要求调速比大于15:1 改造方案中,如选6级同步电动机,要求电机的转速为585r/min,试求同步电动机的定子变频电源的频率接近下列哪一项? ( ) (A)29Hz (B)35Hz (C)39Hz (D)59Hz
选项
答案 A
解析 《钢铁企业电力设计手册》(下册)P1 ~3表23-1。

猜你喜欢

发表评论
更多 网友评论0 条评论)
暂无评论

访问排行

Copyright © 2012-2014 恰考网 Inc. 保留所有权利。 Powered by tikuer.com

页面耗时0.0396秒, 内存占用1.03 MB, Cache:redis,访问数据库18次