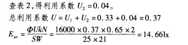
若灯具高度为13m,光源采用150W高压钠灯,光通量为160001m,维护系数为0. 65,灯具间距25m,灯具在人行道侧和车道侧的利用系数按表1和表2选...

作者: rantiku 人气: - 评论: 0
问题 若灯具高度为13m,光源采用150W高压钠灯,光通量为160001m,维护系数为0. 65,灯具间距25m,灯具在人行道侧和车道侧的利用系数按表1和表2选择,试计算道路平均照度为下列哪一项数值? ( ) (A)71x (B)151x (C)231x (D)291x
选项
答案 B
解析 《照明设计手册》(第二版)P446例(18-1)和P445式(18-2)。

猜你喜欢

发表评论
更多 网友评论0 条评论)
暂无评论

访问排行

Copyright © 2012-2014 恰考网 Inc. 保留所有权利。 Powered by tikuer.com

页面耗时0.0363秒, 内存占用1.03 MB, Cache:redis,访问数据库14次