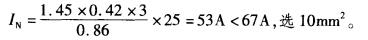
若路灯采用三相四线制低压配电线路供电,每相接入25盏灯具,每盏灯具的基波电流为1.45A,每相的三次谐波电流含量为42%,选用YJV-0. 6/1. 0k...

作者: rantiku 人气: - 评论: 0
问题 若路灯采用三相四线制低压配电线路供电,每相接入25盏灯具,每盏灯具的基波电流为1.45A,每相的三次谐波电流含量为42%,选用YJV-0. 6/1. 0kV电缆,线路N 线与相线同截面,电缆载流量见下表(已考虑环境温度影响),若不计电压降,电缆截面最小选用下列哪一项数值? ( ) (A)4mm2 ( B)6mm2 (C)10mm2 (D) 16mm2
选项
答案 C
解析 《工业与民用配电设计手册》(第三版)P495表9-10及表9-11。

猜你喜欢

发表评论
更多 网友评论0 条评论)
暂无评论

访问排行

Copyright © 2012-2014 恰考网 Inc. 保留所有权利。 Powered by tikuer.com

页面耗时0.0665秒, 内存占用1.03 MB, Cache:redis,访问数据库20次