已知一企业变电所电源引自地区变电站,已知条件如下(见图):1)35kV线路电源侧(公共接入点)最大和最小短路容量分别为590MV*A和500MV*A,...

作者: rantiku 人气: - 评论: 0
问题 已知一企业变电所电源引自地区变电站,已知条件如下(见图): 1)35kV线路电源侧(公共接入点)最大和最小短路容量分别为590MV*A和500MV*A,35kV线路电源处公共接入点供电设备容量50MV*A;该电力用户用电协议容量20MV*A。 2)该电力用户35/10kV变电所10kV母线最大和最小短路容量分别为157MV*A 和150MV*A。 3)该电力用户的车间
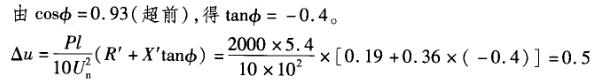
选项 A、B的10kV母线上含有非线性负荷。 4)该电力用户向车间C釆用U-185铝绞线架空线路供电,线路长5.4km。 请回答下列问题。 如果车间C计算负荷为2000kW,功率因数为0.93(超前),35/10kV变电所至车间C的供电线路长度为5.4km,线路每公里电抗、电阻分别为0.36Ω、0. 19Ω,则供电线路电压损失百分数应为下列哪一项数值? ( ) (A)4.7 (B)0.5 (C)3.6 (D)3.4
答案 B
解析 《工业与民用配电设计手册》(第三版)P254表6-3。
发表评论
更多 网友评论0 条评论)
暂无评论

访问排行

Copyright © 2012-2014 恰考网 Inc. 保留所有权利。 Powered by tikuer.com

页面耗时0.0363秒, 内存占用1.03 MB, Cache:redis,访问数据库17次