某机械(平稳负载长期工作时)相关参数为:负载转矩TL= 1477 N*m,启动过程中的最大静阻转矩TLMax=562N*m,要求电动转速n=2900-30...

作者: rantiku 人气: - 评论: 0
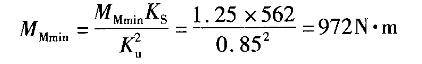
问题 某机械(平稳负载长期工作时)相关参数为:负载转矩TL= 1477 N*m,启动过程中的最大静阻转矩TLMax=562N*m,要求电动转速n=2900-3000r/min,传动机械折算到电动机轴上的总飞轮转矩 初选笼型异步电动机,其参数为:PN =500kW,nN=2975r/min,最大转矩倍数= 请回答下列问题。 启动过程中的最大静阻转矩为562N*m,假定电动机为全压启动,启动时电压波动系数为0.85,计算电动机最小启动转矩最接近下列哪一项数值?(用于检验是否小于根据制造厂所提供的电动机实际最小启动转矩) (A)700N*m (B)970N*m (C)1250N*m (D)1400N*m
选项
答案 B
解析 《钢铁企业电力设计手册》(下册)P50式(23-136):

猜你喜欢

发表评论
更多 网友评论0 条评论)
暂无评论

访问排行

Copyright © 2012-2014 恰考网 Inc. 保留所有权利。 Powered by tikuer.com

页面耗时0.0342秒, 内存占用1.03 MB, Cache:redis,访问数据库18次