某机械(平稳负载长期工作时)相关参数为:负载转矩TL= 1477 N*m,启动过程中的最大静阻转矩TLMax=562N*m,要求电动转速n=2900-30...

作者: rantiku 人气: - 评论: 0
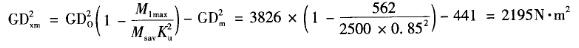
问题 某机械(平稳负载长期工作时)相关参数为:负载转矩TL= 1477 N*m,启动过程中的最大静阻转矩TLMax=562N*m,要求电动转速n=2900-3000r/min,传动机械折算到电动机轴上的总飞轮转矩 初选笼型异步电动机,其参数为:PN =500kW,nN=2975r/min,最大转矩倍数= 请回答下列问题。 设电动机的平均启动转矩2500N*m,启动时电压波动系数为0. 85,试计算允许的机械最大飞轮转矩,最接近下列哪一项? ( ) (A)3385N*m (B)1800N*m (C)2195N*m (D)2500N*m
选项
答案 C
解析 《钢铁企业电力设计手册》(下册)P50式(23-137):

猜你喜欢

发表评论
更多 网友评论0 条评论)
暂无评论

访问排行

Copyright © 2012-2014 恰考网 Inc. 保留所有权利。 Powered by tikuer.com

页面耗时0.0434秒, 内存占用1.03 MB, Cache:redis,访问数据库19次