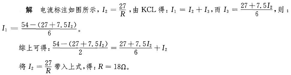
电路如图所示,R的值为()。A. 12.5ΩB. 15.5ΩC. 15ΩD. 18Ω

作者: rantiku 人气: - 评论: 0
问题 电路如图所示,R的值为()。
选项 A. 12.5Ω B. 15.5Ω C. 15Ω D. 18Ω
答案 D
解析

猜你喜欢

发表评论
更多 网友评论0 条评论)
暂无评论

Copyright © 2012-2014 恰考网 Inc. 保留所有权利。 Powered by tikuer.com

页面耗时0.0329秒, 内存占用1.01 MB, Cache:redis,访问数据库19次