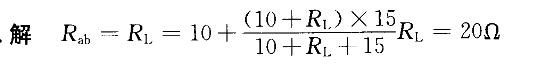
图示电路中ab间的等效电阻与电阻RL相等,则RL应为下列哪项数值?()A. 20Ω B. 15Ω0 D. 10Ω

作者: rantiku 人气: - 评论: 0
问题 图示电路中ab间的等效电阻与电阻RL相等,则RL应为下列哪项数值?()
选项 A. 20Ω B. 15Ω0 D. 10Ω
答案 A
解析
发表评论
更多 网友评论0 条评论)
暂无评论

Copyright © 2012-2014 恰考网 Inc. 保留所有权利。 Powered by tikuer.com

页面耗时0.0402秒, 内存占用1.02 MB, Cache:redis,访问数据库20次