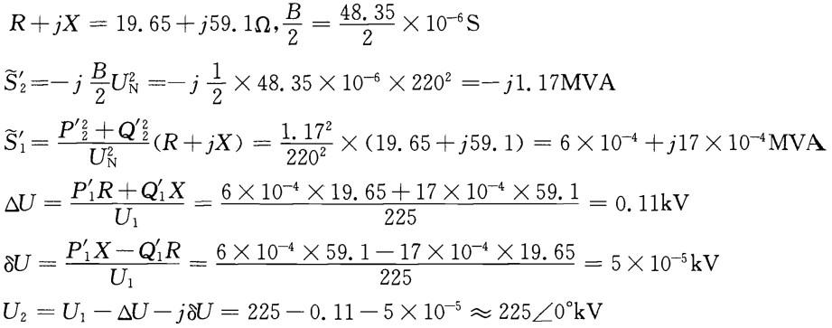
如图所示的简单电力系统,已知220kV系统参数为R= 19.65Ω,X=59.10Ω,B = 43.33X10-6S,发电机母线电压为225kV,则线路空...

作者: rantiku 人气: - 评论: 0
问题 如图所示的简单电力系统,已知220kV系统参数为R= 19.65Ω,X=59.10Ω,B = 43.33X10-6S,发电机母线电压为225kV,则线路空载时B母线实际电压为()。
选项
答案 B
解析 解此题目考查电力网络的潮流分析,各种参数标注如图所示。

猜你喜欢

发表评论
更多 网友评论0 条评论)
暂无评论

Copyright © 2012-2014 恰考网 Inc. 保留所有权利。 Powered by tikuer.com

页面耗时0.0668秒, 内存占用1.03 MB, Cache:redis,访问数据库19次