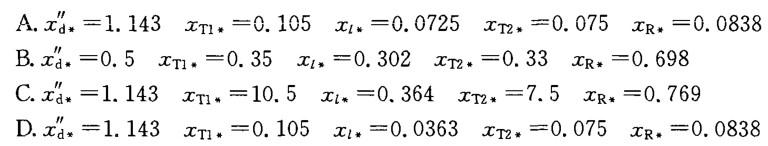
如图所示的电力系统,元件参数如图中标出,用有名值表示该电力系统等值电路(功率标幺值30MVA),下面( )是正确的。

作者: rantiku 人气: - 评论: 0
问题 如图所示的电力系统,元件参数如图中标出,用有名值表示该电力系统等值电路(功率标幺值30MVA),下面( )是正确的。
选项
答案 A
解析 解此题目考查的是标幺值和有名值的定义。

猜你喜欢

发表评论
更多 网友评论0 条评论)
暂无评论

Copyright © 2012-2014 恰考网 Inc. 保留所有权利。 Powered by tikuer.com

页面耗时0.0352秒, 内存占用1.01 MB, Cache:redis,访问数据库20次