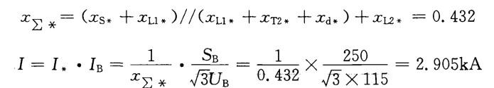
已知某电力系统如图所示,各线路电抗均为0.4Ω/km,SB= 250MVA,如果f处发生三相短路,瞬时故障电流周期分量起始值为()。A. 3.86...

作者: rantiku 人气: - 评论: 0
问题 已知某电力系统如图所示,各线路电抗均为0.4Ω/km,SB= 250MVA,如果f处发生三相短路,瞬时故障电流周期分量起始值为()。 A. 3.8605kA B. 2.905kA C. 5.4767k
选项 A D. 2.7984kA
答案 B
解析

猜你喜欢

发表评论
更多 网友评论0 条评论)
暂无评论

Copyright © 2012-2014 恰考网 Inc. 保留所有权利。 Powered by tikuer.com

页面耗时0.0426秒, 内存占用1.03 MB, Cache:redis,访问数据库20次