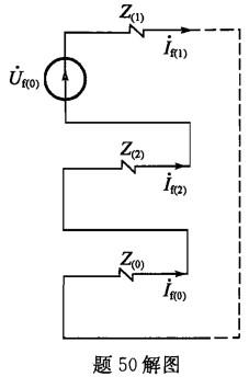
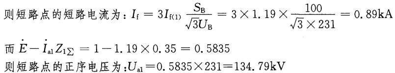
简单电力系统如图所示,XT2 =0.1,取基准功率SB = 100MVA时,计算f点发生a相接地短路时短路点的短路电流(kA)及短路点正序电压(kV)为(...

作者: rantiku 人气: - 评论: 0
问题 简单电力系统如图所示,XT2 =0.1,取基准功率SB = 100MVA时,计算f点发生a相接地短路时短路点的短路电流(kA)及短路点正序电压(kV)为( )。 A. 0.89kA 134.79kV B. 2.6767kA 76.089kV C. 0.846kA 76.089kV D. 2.789k
选项 A 131.79kV
答案 A
解析

猜你喜欢

发表评论
更多 网友评论0 条评论)
暂无评论

Copyright © 2012-2014 恰考网 Inc. 保留所有权利。 Powered by tikuer.com

页面耗时0.0408秒, 内存占用1.02 MB, Cache:redis,访问数据库20次