一台 SN = 63000kVA,50Hz,U1N/l/2N = 220/10. 5kV,YN/d 连接的三相变压器,在额定电压下,空载电流为额定电流的1...

作者: rantiku 人气: - 评论: 0
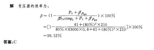
问题 一台 SN = 63000kVA,50Hz,U1N/l/2N = 220/10. 5kV,YN/d 连接的三相变压器,在额定电压下,空载电流为额定电流的1%,空载损耗P0=61kW,其阻抗电压Uk = 12%。当有额定电流时,短路铜损耗Pkcu= 210kW,当一次侧保持额定电压,二次侧电流达到额定的80%且功率因数为0.8,变压器的效率为()。
选项 A. 99. 47% B. 99. 49% C. 99. 52% D. 99. 55%
答案 C
解析

猜你喜欢

发表评论
更多 网友评论0 条评论)
暂无评论

Copyright © 2012-2014 恰考网 Inc. 保留所有权利。 Powered by tikuer.com

页面耗时0.0388秒, 内存占用1.01 MB, Cache:redis,访问数据库20次