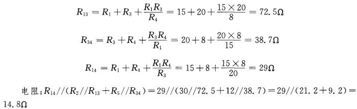
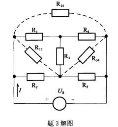
如图所示电路中,已知US = 12V,R1=15Ω,R2=30Ω,R3=20Ω,R4=8Ω,R5=12Ω,电流I为( )。A. 2A B. 1. ...

作者: rantiku 人气: - 评论: 0
问题 如图所示电路中,已知US = 12V,R1=15Ω,R2=30Ω,R3=20Ω,R4=8Ω,R5=12Ω,电流I为( )。 A. 2A B. 1. 5A C. 1
选项 A D. 0. 81A
答案 D
解析 解 作Y-△变换,如图所示。根据Y-△变换,得: 答案:D

猜你喜欢

发表评论
更多 网友评论0 条评论)
暂无评论

Copyright © 2012-2014 恰考网 Inc. 保留所有权利。 Powered by tikuer.com

页面耗时0.0391秒, 内存占用1.02 MB, Cache:redis,访问数据库20次