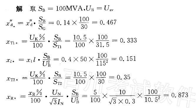
下列网络中的参数如图所示,用近似计算法计算得到的各元件标幺值为下列哪项数值?(取SB= 100MVA)( )

作者: rantiku 人气: - 评论: 0
问题 下列网络中的参数如图所示,用近似计算法计算得到的各元件标幺值为下列哪项数值?(取SB= 100MVA)( )
选项
答案 C
解析

猜你喜欢

发表评论
更多 网友评论0 条评论)
暂无评论

Copyright © 2012-2014 恰考网 Inc. 保留所有权利。 Powered by tikuer.com

页面耗时0.0573秒, 内存占用1.01 MB, Cache:redis,访问数据库14次