如图所示正弦稳态电路中,若电压表的读数为50V,电流表的读数为1A,功率表的读数为30W,则ωL为( )。A. 45ΩB. 25ΩC. 35Ω...

作者: rantiku 人气: - 评论: 0
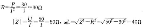
问题 如图所示正弦稳态电路中,若电压表的读数为50V,电流表的读数为1A,功率表的读数为30W,则ωL为( )。
选项 A. 45Ω B. 25Ω C. 35Ω D. 40Ω
答案 D
解析 解功率表读数为电阻消耗的有功功率,假设有功功率为P,则P = I2 * R,可得 答案:D

猜你喜欢

发表评论
更多 网友评论0 条评论)
暂无评论

Copyright © 2012-2014 恰考网 Inc. 保留所有权利。 Powered by tikuer.com

页面耗时0.0344秒, 内存占用1.01 MB, Cache:redis,访问数据库14次