如图所示正弦电路中,US = 20∠0°V,电流表A读数为40A,电流表A2的读数为28. 28A,则ωL应为( )。A. 2ΩB. 5ΩC....

作者: rantiku 人气: - 评论: 0
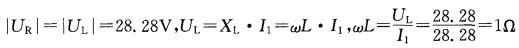
问题 如图所示正弦电路中,US = 20∠0°V,电流表A读数为40A,电流表A2的读数为28. 28A,则ωL应为( )。
选项 A. 2Ω B. 5Ω C. 1Ω D. 1.5Ω
答案 C
解析 解如图所示 I1 = 28. 28A 设电阻两端的电压为UL,电感两端电压为UL则: 答案:C
发表评论
更多 网友评论0 条评论)
暂无评论

Copyright © 2012-2014 恰考网 Inc. 保留所有权利。 Powered by tikuer.com

页面耗时0.0291秒, 内存占用1.01 MB, Cache:redis,访问数据库19次