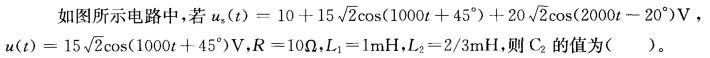
A. 150μFB. 200μFC. 250μFD. 500μF

作者: rantiku 人气: - 评论: 0
问题
选项 A. 150μF B. 200μF C. 250μF D. 500μF
答案 C
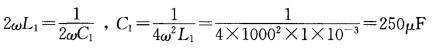
解析 解 由题目可知,u(t)中只含有基波分量,这说明L1、C1在二次谐波作用下发生了并联谐振,L1、C1并联环节相当于开路,所以u(t)中不含有二次谐波分量。 答案:C

猜你喜欢

发表评论
更多 网友评论0 条评论)
暂无评论

Copyright © 2012-2014 恰考网 Inc. 保留所有权利。 Powered by tikuer.com

页面耗时0.0410秒, 内存占用1.01 MB, Cache:redis,访问数据库20次