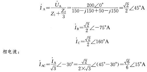
如图所示电路为对称三相电路,相电压为200V,Z1=Z2 = 150 - j150Ω。为()。

作者: rantiku 人气: - 评论: 0
问题 如图所示电路为对称三相电路,相电压为200V,Z1=Z2 = 150 - j150Ω。为()。
选项
答案 D
解析 解 将△接线负载变换为Y接线,如图所示。 以A相电源作为参考相量,设A相电源电压为=200∠0°,则线电流: 答案:D

猜你喜欢

发表评论
更多 网友评论0 条评论)
暂无评论

Copyright © 2012-2014 恰考网 Inc. 保留所有权利。 Powered by tikuer.com

页面耗时0.0308秒, 内存占用1.02 MB, Cache:redis,访问数据库20次