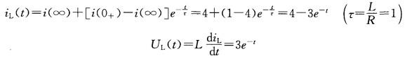
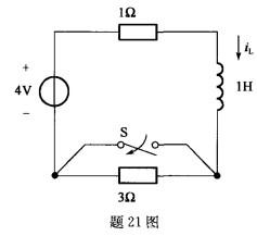
如图所示,电路已稳定,t=0时闭合开关S后,则uL(t)为( )。A. -3e-t VB. 3e-tVC. 0VD. 1 + 3e-tV

作者: rantiku 人气: - 评论: 0
问题 如图所示,电路已稳定,t=0时闭合开关S后,则uL(t)为( )。
选项 A. -3e-t V B. 3e-tV C. 0V D. 1 + 3e-tV
答案 B
解析 解 由换路定律得iL(0+)=iL(0-)= = 1A,开关S闭合达稳态时,iL(∞)= 4/1=4A。 由三要素法得: 答案:B

猜你喜欢

发表评论
更多 网友评论0 条评论)
暂无评论

Copyright © 2012-2014 恰考网 Inc. 保留所有权利。 Powered by tikuer.com

页面耗时0.0365秒, 内存占用1.01 MB, Cache:redis,访问数据库20次