某高压电网线路两端电压分布如图所示,则有( )A. Pij >0,Qij>0B. Pij ijC. Pij >0,QijD. Pij ij>0

作者: rantiku 人气: - 评论: 0
问题 某高压电网线路两端电压分布如图所示,则有( )
选项 A. Pij >0,Qij>0 B. Pij ij C. Pij >0,Qij D. Pij ij>0
答案 D
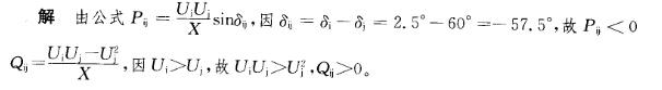
解析

猜你喜欢

发表评论
更多 网友评论0 条评论)
暂无评论

Copyright © 2012-2014 恰考网 Inc. 保留所有权利。 Powered by tikuer.com

页面耗时0.0744秒, 内存占用1.02 MB, Cache:redis,访问数据库20次