一半径1m的半球形导体球当作接地电极埋于地下,其平面部分与地面相重合,土壤的电导率γ= 10-2S/m,则此接地体的接地电阻为( )。A. 15. 92Ω...

作者: rantiku 人气: - 评论: 0
问题 一半径1m的半球形导体球当作接地电极埋于地下,其平面部分与地面相重合,土壤的电导率γ= 10-2S/m,则此接地体的接地电阻为( )。
选项 A. 15. 92Ω B. 7. 96Ω C. 63. 68Ω D. 31. 84Ω
答案 A
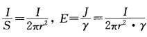
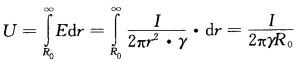
解析 解如图所示,由镜像法可知,且J = 半球到无穷远处的电压: 接地体的电阻: 答案:A

猜你喜欢

发表评论
更多 网友评论0 条评论)
暂无评论

Copyright © 2012-2014 恰考网 Inc. 保留所有权利。 Powered by tikuer.com

页面耗时0.0319秒, 内存占用1.03 MB, Cache:redis,访问数据库19次