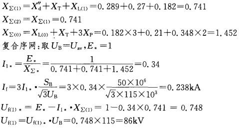
系统接线如图所示,图中参数均为归算到同一基准,基准值之下(SB = 50MVA)的标幺值。系统在f点发生a相接地,短路处短路电流及正序相电压有名值为( )...

作者: rantiku 人气: - 评论: 0
问题 系统接线如图所示,图中参数均为归算到同一基准,基准值之下(SB = 50MVA)的标幺值。系统在f点发生a相接地,短路处短路电流及正序相电压有名值为( )。(变压器联结组Y,d11) A. 0. 238kA 58. 16kV B. 0. 316kA 100. 74kV C. 0. 412kA 58. 16kV D. 0. 238k
选项 A 86kV
答案 D
解析 解 如图所示, 答案:D

猜你喜欢

发表评论
更多 网友评论0 条评论)
暂无评论

Copyright © 2012-2014 恰考网 Inc. 保留所有权利。 Powered by tikuer.com

页面耗时0.0465秒, 内存占用1.03 MB, Cache:redis,访问数据库19次