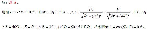
(A) 0.6(B) 0.5(C) 0.3(D)不能确定

作者: rantiku 人气: - 评论: 0
问题 (A) 0.6 (B) 0.5 (C) 0.3 (D)不能确定
选项
答案 A
解析

猜你喜欢

发表评论
更多 网友评论0 条评论)
暂无评论

Copyright © 2012-2014 恰考网 Inc. 保留所有权利。 Powered by tikuer.com

页面耗时0.0466秒, 内存占用1.01 MB, Cache:redis,访问数据库20次