(A) 6V(B) 18V(C) 4V(D) 0

作者: rantiku 人气: - 评论: 0
问题 (A) 6V (B) 18V (C) 4V (D) 0
选项
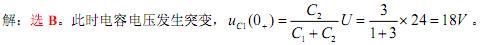
答案 B
解析 点评:不要错选D。

猜你喜欢

发表评论
更多 网友评论0 条评论)
暂无评论

Copyright © 2012-2014 恰考网 Inc. 保留所有权利。 Powered by tikuer.com

页面耗时0.0472秒, 内存占用1.01 MB, Cache:redis,访问数据库20次