图2-1所示电路中A点的电压uA为下列何值? (A) 5V (B) 5.21V (C)-5V (D) 38.3V

作者: rantiku 人气: - 评论: 0
问题 图2-1所示电路中A点的电压uA为下列何值? (A) 5V (B) 5.21V (C)-5V (D) 38.3V
选项
答案 C
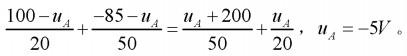
解析 解:选C。 容易得到:

猜你喜欢

发表评论
更多 网友评论0 条评论)
暂无评论

Copyright © 2012-2014 恰考网 Inc. 保留所有权利。 Powered by tikuer.com

页面耗时0.0299秒, 内存占用1.01 MB, Cache:redis,访问数据库19次