在一降压变电所中,装有两台电压为110±2X 2.5%/11kV的相同变压器并联运行,两台变压器归算到高压侧的并联等值阻抗ZT= 2. 04+j31. 7...

作者: rantiku 人气: - 评论: 0
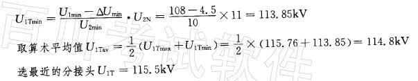
问题 在一降压变电所中,装有两台电压为110±2X 2.5%/11kV的相同变压器并联运行,两台变压器归算到高压侧的并联等值阻抗ZT= 2. 04+j31. 76Ω,高压母线最大负荷时的运行电压U是115kV,最小负荷时的运行电压U为108kV,变压器低压母线负荷为。若要求低压母线逆调压,且最小负荷时切除一台变压器,则变压器分接头的电压应为( )。
选项 A. 110kV B. 115. 5kV C. 114. 8kV D. 121kV
答案 B
解析

猜你喜欢

发表评论
更多 网友评论0 条评论)
暂无评论

Copyright © 2012-2014 恰考网 Inc. 保留所有权利。 Powered by tikuer.com

页面耗时0.0420秒, 内存占用1.03 MB, Cache:redis,访问数据库20次