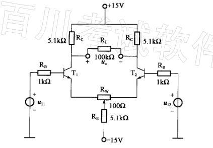
电路如图所示,图中Rw是调零电位器(计算时可设滑动端在Rw的中间),且已知T1、 T2均为硅管,UBE1= UBE2= 0. 7V,β1 = β2 = 6...

作者: rantiku 人气: - 评论: 0
问题 电路如图所示,图中Rw是调零电位器(计算时可设滑动端在Rw的中间),且已知T1、 T2均为硅管,UBE1= UBE2= 0. 7V,β1 = β2 = 60。电路的差模电压放大倍数为( )。
选项 A. -102 B. -65. 4 C. -50. 7 D. -45. 6
答案 C
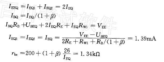
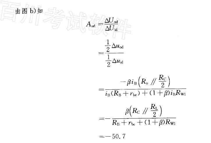
解析 解:直流通路的画法:①电容视为开路;②电感视为短路;③交流电压信号源视为短路,交流电流信号源视为开路。 交流电路的画法:①电容视为短路;②电感视为开路;③直流电源视为短路。 由图a)知:

猜你喜欢

发表评论
更多 网友评论0 条评论)
暂无评论

Copyright © 2012-2014 恰考网 Inc. 保留所有权利。 Powered by tikuer.com

页面耗时0.0319秒, 内存占用1.03 MB, Cache:redis,访问数据库18次