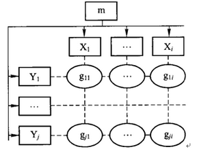
矩阵组织结构如右图所示,这种组织结构的最高指挥者(m)下设纵向(Xi)和横向(Yj)两种不同类型的工作部门。其中每一项纵向和横向交汇的工作担当者gji与右...

作者: rantiku 人气: - 评论: 0
问题 矩阵组织结构如右图所示,这种组织结构的最高指挥者(m)下设纵向(Xi)和横向(Yj)两种不同类型的工作部门。其中每一项纵向和横向交汇的工作担当者gji与右图所显示的工作部门之间指令关系正确情况下是( )。
选项
答案 A
解析 在矩阵组织结构中,每一项纵向和横向交汇的工作指令来自于纵向和横向两个工作部门,因此g指令源为两个Xi和Yj。当纵向和横向工作部门的指令发生矛盾时,由该组织系统的最高指挥者进行协调或决策。

猜你喜欢

发表评论
更多 网友评论0 条评论)
暂无评论

访问排行

Copyright © 2012-2014 恰考网 Inc. 保留所有权利。 Powered by tikuer.com

页面耗时0.0440秒, 内存占用1.03 MB, Cache:redis,访问数据库20次